
Variedades do Empyrean
A solução multifuncional para suas necessidades analíticas
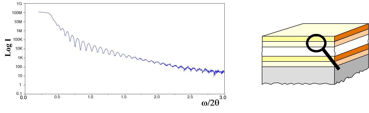
Filmes finos, superfícies e interfaces
A reflectometria de raios X (XRR) é uma técnica analítica que investiga estruturas em camadas finas, superfícies e interfaces com o uso do efeito do reflexo externo total dos raios X.
A reflectometria é usada para caracterizar estruturas de camadas individuais ou múltiplas e revestimentos em materiais magnéticos, semicondutores e ópticos, entre outros.
Nos experimentos de refletividade, a difração dos raios X de uma amostra é medida em torno do ângulo crítico.
Isso acontece em torno de ângulos de incidência rasante. Abaixo do ângulo crítico da difração externa total, os raios X penetram somente alguns nanômetros na amostra. Acima desse ângulo, a profundidade de penetração aumenta rapidamente. Em cada interface em que a densidade do elétron muda, uma parte do feixe de raios X é refletida.
A interferência desses feixes de raios X parcialmente refletidos gera o padrão de oscilação observado nos experimentos de refletividade.
A partir dessas curvas de refletividade, parâmetros de camadas, como espessura e densidade, interface e rugosidade da superfície, podem ser determinados, independentemente da cristalinidade de cada camada (somente cristalina, policristalina ou amorfa).
A solução multifuncional para suas necessidades analíticas
Os experimentos de reflectometria podem ser feitos nos sistemas Empyrean da Malvern Panalytical.
Os dados da reflectometria podem ser analisados por meio de procedimentos de adequação automática implementados no pacote de software de Reflectivity. Parte da linha de aplicativos de software XRD da Malvern Panalytical, o Reflectivity usa o formato de dados XRDML. Por possibilitar a adequação automática de curvas de refletividade de raios X especulares simuladas a experimentais, o Reflectivity torna a reflectometria, que antes era de uso de profissionais avançados, disponível a qualquer usuário.
![]() EmpyreanO difratômetro inteligente |
|
---|---|
Tecnologia | |
X-ray Diffraction (XRD) | |
Tipo de medição | |
Determinação de estrutura cristalina | |
Identificação de fase | |
Quantificação de fase | |
Detecção e análise de contaminantes | |
Tensão residual | |
Análise de epitaxia | |
Rugosidade da interface | |
Análise de textura | |
Estrutura/imagem 3D | |
Análise de espaço recíproco | |
Configuração de Goniômetro | |
Faixa de tamanho das partículas: |