X-ray absorption spectroscopy

Structural Insights Differently: Explore the World of X-ray Absorption Spectroscopy

X-ray absorption spectroscopy

X-ray absorption spectroscopy (XAS) is a well-established analytical technique offering insights into the electronic and local structure of materials. 

Widely applied across disciplines including material science, biology, chemistry, and physics, XAS experiments are typically conducted at synchrotron facilities.

How X-ray absorption spectroscopy works

In X-ray absorption spectroscopy (XAS) the absorption of a photon promotes an electron from a core level to an empty state, and it is usually said that XAS probes the empty or unfilled states.  

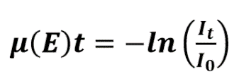
The x-ray absorption experiment is straightforward, x-rays of definite energy are impinging on a sample. Some of these x-rays are absorbed by the atoms in the sample. The absorption is acquired by measuring once with and once without the sample. An XAS spectrum is obtained by dividing the spectrum measured with sample by the spectrum measured without the sample and calculating the negative natural logarithm shown on the right.

Once the absorption is determined for one energy of incident x-rays, the energy is changed slightly, and the process repeated. By stepping through a range of energies in this way, a spectrum is created, for example see Figure right.

XAS spectrum showing the XANES (Pre-edge and Edge) region and the EXAFS region [DeB14].

The structure found in the immediate neighborhood of the absorption edge, conventionally within 50 eV of the absorption edge, is referred to as X-ray Absorption Near Edge Structure (XANES) or Near edge X-ray Absorption Fine Structure (NEXAFS). The region beyond XANES with oscillatory structures is referred to as the Extended X-ray Absorption Fine Structure (EXAFS) region, which can extend to 1000eV or more above the absorption edge. The oscillatory structure is caused by the interference between the outgoing and the back-scattered photoelectron waves. 

X-ray absorption spectroscopy spectrum analysis

The XAS spectrum comprises two key regions:

  1. X-ray Absorption Near Edge Structure (XANES): This region, typically within 50 eV of the absorption edge, reveals structural details in the immediate vicinity of the absorption edge.
  2. Extended X-ray Absorption Fine Structure (EXAFS): Beyond XANES, the oscillatory structures in this region, caused by the interference of outgoing and back-scattered photoelectron waves, provide insights into atomic arrangements extending up to 1000 eV above the absorption edge.

Information derivable from XAS

XAS enables the determination of various properties including:

  • Oxidation state
  • Distances to neighboring atoms
  • Coordination numbers
  • Types of ligands
  • Some nearest neighbor bond angle information (in specific cases)

Sample versatility

XAS can be applied to samples in diverse forms:

  • Solid
  • Liquid
  • Gas
  • Frozen solutions

By offering such versatility, XAS facilitates comprehensive structural analysis across a wide range of materials and states.

Read our articles on how this technique enhances battery development and catalysis research.